凯发k8

English 凯发k8集团企业邮箱

第二节 计数资料的显著性磨练

作者:徐荣祥 出书社:中国科学手艺出书社 刊行日期:2009年7月

关于计数资料这些相对数我们只知它们的崎岖,,不知其有无统计学意义,,只有通过相对数的显著性磨练方能明确。。。。。。常用要领为U磨练与χ2磨练。。。。。。
一、率的u磨练
率的u磨练是应用规模较为广的一种显著性磨练要领,,可是在用于样本率与总体率较量时,,或两个样本率较量时,,应当思量其差别是否由于抽样误差所造成的。。。。。。大样本的样本率漫衍近似正态漫衍,,可用正态漫衍的纪律磨练样本率与总体率或两个样本率差别的显著性。。。。。。其判断标准为:

(一)样本率与总体率的较量
样本率与总体率较量的目的是推断该样本所代表的总体率与已知总体率是否相同。。。。。。公式为:

p为样本率,,π为总体率,,σP为率的标准误,,由总体盘算得出
示例343凭证临床履历,,胃十二指肠溃疡患者中,,一样平常情形下有20%的病人会爆发胃出血症状,,现某医院视察烧伤病人152例,,其中48例伤前有过胃出血病史,,问伤前患有胃十二指肠溃疡的烧伤病人是否容易爆发胃出血 ??????
【解题办法】
可将该例中胃十二指肠溃疡患者有20%爆发胃出血率视为总体率π(是把人们公认或履历数值作为总体率)。。。。。。
1建设磨练假设:假设患有胃十二指肠溃疡病的烧伤病人胃出血率(p)与一样平常胃十二指肠溃疡患者的出血率(π)无差别,,即样本率(P)是由总体率(π)中随机抽取的,,两者无差别。。。。。。事实上,,实验研究效果总是有两种情形:一种是接受所建设的磨练假设,,一种是拒绝建设的磨练假设。。。。。。
①设前者为H0:π=π0;;;②设后者为H1:π≠π0。。。。。。
2确立显著性水准:α=005
3盘算u值:将示例343中数据代入公式(346):

4确定P值:由于u=358,,而358>258,,故P<001。。。。。。
5推断结论:在α=005水准上,,拒绝H0,,接受H1,,因P<001,,以是有很是显著性差别,,伤前患有胃十二指肠溃疡的烧伤病人,,其胃出血率与一样平常胃十二指肠溃疡患者的出血率有实质差别,,可以为患胃十二指肠溃疡的烧伤病人较一样平常胃溃疡患者容易爆发胃出血。。。。。。
(二)两个样本率较量的U磨练
两个样本率较量的目的是推断两个样本各自代表的两个总体率是否相同。。。。。。常用U磨练和χ2磨练:
U磨练盘算公式:

示例344如某医院对1 329例烧伤病人举行应激性溃疡出血的预防性治疗,,有56例爆发了胃出血,,发病率为421%,,1 670例伤情相似的病人未举行预防性治疗,,其出血率达832%,,问两组样本应激性溃疡出血的发病率有无差别 ??????
【解题办法】
1建设磨练假设:H0:π1=π2,,H1:π1≠π2。。。。。。
2确定显著性水平:α=005。。。。。。
3盘算u值:n1=1329,,X1=56,,P1=00421(56/1329),,n2=1670,,X2=139,,P2=00823(139/1670)。。。。。。
代入公式(349)、(3410)、(347):

4确定P值:因425>258,,故P<001。。。。。。
5推断结论:在α=005的水准上,,拒绝H0,,接受H1。。。。。。因P<001,,差别有高度显著性,,故以为预防性治疗组与比照组的应激性溃疡出血率有实质差别,,预防组应激性溃疡出血爆发率低于比照组,,预防治疗有用。。。。。。
二、χ2磨练
χ2磨练是英国统计学家Kpearson提出的,,后经Yates校正刷新,,现已成为专用于两组百分率的常用显著性磨练公式。。。。。。“χ”为希腊字母,,读音为“Kai”,,故χ2磨练法又称“卡要领”。。。。。。应用规模与U磨练不完全相同,,前者主要针对样本率与总体率举行较量,,也可用于两个样本率的较量;;;而χ2磨练主要用于推断两个及两个以上总体率(或组成比)之间的磨练,,检查两个分类变量之间有无关系(或关联)。。。。。。
(一)χ2磨练基本公式与盘算要领
χ2磨练的基本公式:

A为现实视察数,,T为理论盘算值,, ∑(希腊字母,,读音Sigma)体现总和。。。。。。举例诠释其要领及原理。。。。。。
示例345某医院对已往治疗的烧伤并发败血症的病例举行回首性总结,,205例大面积烧伤病人并发败血症的例数为43,,而134例中等烧伤面积病人并发败血症的例数为13,,问败血症的爆发与烧伤面积有无关系 ??????
【解题办法】
1将视察资料列入表(表342)中:

2建设“磨练假设”(无效假设),,即若是大面积与中等面积烧伤组的败血症爆发率之间没有实质差别,,说明败血症的爆发率(21%和97%)来自统一总体,,这种差别是由抽样误差造成的。。。。。。凭证这个假设,,可以用两个组的合计发病率(165%)为假设的理论总体,,并以此作为盘算值的理论基础。。。。。。
3盘算各组的理论数T值:理论数值是凭证磨练假设推论的两组病人数中应有的爆发败血症人数,,即两组都按165%患病率盘算,,应当有几多人患病与不患病。。。。。。大面积烧伤组205人,,乘以合计患病率165%,,即是大面积烧伤组理论上应当爆发败血症的人数(205×165%=3383),,即为理论值;;;而未爆发败血症的人数为(205-3383=17117)17117。。。。。。同理,,再求出中等烧伤面积组病人的理论值为2211,,不爆发败血症的理论值为(134-2211=11189)11189。。。。。。
将盘算的理论值汇入表343中。。。。。。

4代入χ2值公式(3411)盘算χ2值:

χ2值无单位,,与它响应的概率为5%的χ2值(χ2 005)和概率为1%的χ2值(χ2001),,可由卡方简明界值表344中查出。。。。。。
若是上述磨练准确,,A-T差值不会太。。。。。。,如A-T相差太大,,磨练假设建设的可能性就不大。。。。。。
5凭证χ2值与自由度查χ2值表:首先确定自由度(df或n′或r,,),,因四格表中有四个理论值,,只要先用乘除法求出任何一个,,其余三个可用减法求出。。。。。。这种必需先用乘除法求出理论值的格子数叫自由度。。。。。。盘算要领:
n′=(行数-1)(列数-1),,四格表中为两行、两列,,故:
n′=(2-1)(2-1)=1。。。。。。
查简明χ2值表(表344,,或查有关书籍卡方界值表):当n′=1时,,χ2005=663,,本例χ2=747,,大于663,,已凌驾χ2005=663水平,,但小于χ20005=788水平,,故P<001。。。。。。

(二)四格表资料的χ2磨练(两个样本率的较量)
四格表资料的χ2磨练法是应用最为普遍和最为利便的一种要领,,它所磨练的仅是两个率的较量。。。。。;;;灸J酵肌⒐胶托Ч卸媳曜既缦拢

4盘算办法:
(1)先将问题中的数据按四格表模式图形式制表排列(用现实数字,,不必百分率)。。。。。。
(2)代入公式(3412),,盘算χ2值,,χ2值是统计值,,数值越大统计意义越大。。。。。。
(3)凭证χ2值的大。。。。。。,按P值判断标准确定P值巨细。。。。。。
(4)做出统计结论。。。。。。
示例346用甲法治疗大面积烧伤(甲组)71例,,有52例并发全身性熏染,,用乙法治疗的大面积烧伤(乙组)42例,,有3例并发全身性熏染。。。。。。问两组熏染爆发率有无统计学差别 ??????
【解题办法】
1按四格表模式重新制表(表347):

2盘算χ2值(公式342):

3盘算自由度:由于自由度(n′)=1{(行-1)(列-1)=(2-1)(2-1)},,故本研究自由度为1(1×1)。。。。。。
4按表344标准确定P值:因χ2值在384和663之间,,故P<005,,组间有显著性差别。。。。。。
5效果判断:因P<005,,说明乙法治疗的大面积烧伤病人并发全身性熏染的时机低于甲组。。。。。。
(三)行×列表资料的χ2磨练
以上讲的是两个样本率的磨练,,用四格表法,,但当行数或列数大于2时,,应当用行×列表资料的χ2磨练,,又称R×C表资料。。。。。;;;竟剑

A为各格子的现实频数,,nR、nC为各现实频数所对应的行的合计数和列的合计数,,N为总合计数。。。。。。
该公式是由基本公式转换而来,,不需要求理论频数,,利便适用。。。。。。
示例337甲乙丙三所医院同期对某药举行抗熏染疗效视察,,甲院视察了29例,,有用(23例)率为793%,,乙院视察了44例,,有用(14例)率为318%,,丙医院视察了11例,,有用(3例)率为273%(资料见表348)。。。。。。问3所医院抗熏染治疗的总体有用率是否有显著意义 ??????

【解题办法】
1建设磨练假设:H0:3所医院的有用率相等,,π1=π2;;;H1:3所医院的有用率不相等,,H1:π1≠π2。。。。。。
2确定显著性水平:α=005。。。。。。
3凭证χ2基本盘算公式(3413)盘算χ2值:

4确定自由度(n′)=(2-1)(3-1)= 2。。。。。。
5查χ2值表确定P值:查表344可知,,χ2005(2)=1060,,今χ2=17907,,>χ20005(2),,故P<0005。。。。。。
6推断结论:在α=005水准上,,拒绝H0,,吸收H1,,故该药在三所医院的抗熏染效果保存统计学差别(P<0005)。。。。。。
(四) 二列多格资料χ2值磨练
二列多格资料χ2值磨练也称多个样本率的较量,,其目的是推断它们所代表的总体率是否相等。。。。。。该类资料的基本数据有R行(样本个数),,2列(指样本的阳性数与阴性数),,以是又叫R×2列联表或列联表(contingency table)。。。。。。
公式同基本公式(3413),,盘算出的资料可以举行相关剖析。。。。。。
示例348(百分比相互较量):某医院视察严重烧伤病人早期延迟治疗对休克爆发率有无影响,,视察时间划分为伤后大于18小时(甲组)、伤后6~18小时(乙组)和6小时以内(丙组)3个接受治疗小组,,效果汇于表349中。。。。。。问延迟治疗对烧伤休克的爆发率有无统计学差别,,或相互之间有无关联 ??????

【解题办法】
1建设磨练假设:设H0:三种差别治疗时间休克爆发率相等;;;设H0:π1=π2;;;三种差别治疗时间休克爆发率不完全相等,,H1:π1≠π2。。。。。。
2确定显著性水平:α=005。。。。。。
3盘算χ2值:将表349中的数字代入公式3413,,得:

4盘算自由度:(n′)=(2-1)(3-1)= 2。。。。。。
5确定P值:因n′=2,,查χ2值表(344),,χ20005(2)=1060,,本研究χ2=24776>χ20005(2)(1060)水平,,P<0005。。。。。。
6推断效果:在α=005水准上,,拒绝H0,,接受H1,,因P<0005,,差别有高度显著性,,故以为严重烧伤病人早期接受治疗对休克爆发率有显着影响作用,,即可降低休克爆发率。。。。。。
7为了进一步说明它们之间的亲近关联水平,,可凭证公式盘算关联系数:

凭证四格表的pearson列联系数值r在0~1之间。。。。。。r值愈靠近0,,说明两个分类变量的关系愈弱,,r值愈靠近1,,说明关系愈亲近。。。。。。由于r=0462,,说明延迟治疗时间与休克爆发率具有一定的关联性。。。。。。
示例349(样本结构比相互较量):某院2004年收治小儿烧伤145例,,致伤因素:热液150例,,火焰10例,,电流7例,,其他23例;;;成人烧伤188人,,致伤因素:热液50例,,火焰48例,,电流18例,,其他72例(资料见表3410),,问小儿烧伤缘故原由与成人烧伤缘故原由相互之间是否有关联性 ??????

【解题办法】
1建设磨练假设和确定显著性水平:①设H0:两组病人伤因组成相等,,H0:π1=π2;;;②设H1:两组病人伤因组成不完全相等,,H1:π1≠π2。。。。。。
2显著水平:α=005。。。。。。
3盘算χ2值:可将表3410中的数字代入公式(3413),,得:

4盘算自由度:(n′)=(2-1)(4-1)= 3。。。。。。
5确定P值:n′=3,,查χ2值表(344),,χ20005(3)=1284,,今χ2=7014,,故P<0005。。。。。。
6推断效果:在α=005水准上,,拒绝H0,,接受H1,,因P<0005,,差别有很是显著意义,,故以为小儿烧伤病人的致伤因素组成比与成人差别,,说明小儿以热液烫伤多见,,其他伤因组成比低于成人组。。。。。。
7为了进一步说明它们之间的亲近关联水平,,可凭证公式3414盘算关联系数:

由于r=0417,,说明儿童烧伤伤因与成年人烧伤伤因之间具有一定的关联性。。。。。。由于儿童热液烫伤爆发率为724%,,成人热液烫伤爆发率为266%,,两者是否保存显著性差别,,需要举行两两较量方可明确。。。。。。
(五) 多列多格资料χ2值磨练
临床经常遇到3组或3组以上的多格资料,,其盘算要领仍以公式(3413)为基础 。。。。。。现举例说明:
示例3410(计数资料相关剖析):某烧伤中心视察了176例吸入性损伤病人的差别伤情与呼吸难题的各自例数,,问呼吸难题水平与吸入损伤伤情之间有无关联性(数据资料汇于表3411中) ??????

【解题办法】
本例的设计和剖析目的与上述例子差别。。。。。。它并非是两个样本率与总体率、多个样本率与总体率或组成比之间的较量,,而是简单样本自身的较量,,每个工具划分按两种标记分级(伤情与呼吸难题),,属于双相率的盘算,,目的是推测两种标记之间有无相关性。。。。。。
1建设磨练假设:①设H0:呼吸难题水平与吸入性损伤水平无关;;;②设H1:呼吸难题水平与吸入性损伤水平有关。。。。。。
2确定显著水准:α=005。。。。。。
3盘算χ2值:将表3411中的数字代入公式3413,,得:

4盘算自由度:(n′)=(3-1)(3-1)= 4。。。。。。
5确定P值:n′=4,,查χ2界值表(324),,χ20005(4)=1486,,本研究χ2=179623,,>χ20005(4)(1486)水准,,P<0005。。。。。。
6推断效果:在α=005水准上,,拒绝H0,,接受H1,,因P<0005,,差别有高度显著性,,故以为呼吸难题水平与吸入性损伤水平关联亲近。。。。。。
7为了进一步说明它们之间的亲近关联水平,,可凭证公式(3414)盘算关联系数:

由于r=07316,,说明呼吸难题水平与吸入损水平具有显着的关联性,,即吸入损伤越重,,呼吸难题越严重。。。。。。
(六) 配对计数资料的χ2磨练

计数资料的配对设计常用于两种磨练要领,,如作育要领、诊断要领的较量。。。。。。其特点是对样本中的各视察单位划分用两种要领处置惩罚,,然后视察两种要领的效果。。。。。。此类资料可用配对χ2磨练,,较量两个率之间是否有差别。。。。。。从配对设计来说,,配对计数资料与前边所先容的配对计数资料是相同的,,都是把两种处置惩罚因素划分施加于条件相似的受试工具上,,或先后施于统一工具上。。。。。。配对纪录试验效果如为计量资料,,即属计量配对资料;;;若效果为计数资料,,即属于计数配对资料。。。。。。配对计数资料的χ2磨练包括两个内容:①剖析它们的相关关系;;;②剖析处置惩罚效果有无差别。。。。。。
示例3411:100个深Ⅱ度烧伤创面,,每个创面划分用两种要领(甲法与乙法)诊断。。。。。。效果:甲法阳性者为67个,,乙法阳性者50个;;;其中甲乙两法均阳性者(a)39个,,甲乙两法均阴性者(d)22个,,甲法阳性乙法阴性者(d)28个,,乙法阳性甲法阴性者(c)11个(资料见表3412)。。。。。。问甲乙两种要领的诊断效果有无关联及统计学差别 ??????
【解题办法】
第一步:剖析两种诊断效果有无相关关系,,每个工具按两种处置惩罚结构分组,,故可用四格χ2磨练公式盘算,,推断两种诊断要领之间有无相关关系:
1建设磨练假设:①设H0:甲乙诊断要领之间无关;;;②设H1:甲乙诊断要领之间有关。。。。。。
2确定显著水准:α=005。。。。。。

3盘算χ2值:将表3412中的数字代入公式3412,,得:

4盘算自由度:(n′)=(2-1)(2-1)=1。。。。。。
5确定P值:n′=1,,查χ2值表(344),,χ2005=3841,,χ2001=6635,,本研究6推断效果:在α=005水准上,,拒绝H0,,接受H1,,因P<005,,差别有显著性,,故以为两种诊断水平关联亲近。。。。。。
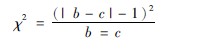
第二步:盘算两种处置惩罚效果有无差别:盘算公式为(3415):

1建设磨练假设:①设H0:两总体b=c;;;②H1:两总体b≠c。。。。。。
2确定显著水准:α=005
3盘算χ2值:将表3412中的数字代入公式3415,,得:

4自由度:n′=1。。。。。。
5确定P值:n′=1,,查χ2值表(344),,χ2005=3841,,χ2001=6635,,本研究χ2=6564,,介于χ20005和χ2001水准之间,,故P<005。。。。。。
6推断效果:在α=005水准上,,拒绝H0,,接受H1,,因P<005,,差别有显著性,,故以为甲乙两种诊断要领简直诊率差别,,甲法简直诊率高于乙法。。。。。。
7关联性剖析:凭证公式3414盘算关联系数:

由于r=0629,,说明甲乙两种要领的诊断效果关联性较强,,甲法优于乙法。。。。。。
(七)两个小样本的χ2磨练要领
由于χ2磨练是以一条平滑曲线为基。。。。。。,大样本所得的概率与其真正概率很靠近。。。。。。当为小样本时,,如n<40(有人以为n<50)时,,用前边讲的大样本较量的u磨练或χ2磨练公式盘算效果都禁绝确,,或偏倚较大,,需要接纳小样本校正公式盘算。。。。。。两个小样本的磨练要领有两种:一种是样本(n)偏。。。。。;;;一种是四格表中有理论频数中泛起0或1时。。。。。。现举例说明:

1小样本校正公式(3416):

示例3312:用甲乙两种药物治疗糖尿病坏疽创面各30个,,甲药组瘢痕爆发率为70%,,乙药组癜痕爆发率为50%。。。。。。问两组之间的疗效有无统计学差别 ??????
【解题办法】
(1)凭证题中数据列表3413:

(2)将表3413中数字代入公式(3416),,得:

(3)效果判断:因n′=1,,χ2值=7050<χ2001(6635),,故P<001。。。。。。组间有很是显著差别。。。。。。
(4)结论:甲药治疗的创面瘢痕爆发率低于乙药治疗组。。。。。。
小样本率的χ2公式盘算效果优于大样本率的χ2公式,,尤其在其他磨练公式所得概率靠近磨练水准时,,宜用小样本率的χ2公式。。。。。。现在许多统计学者以为:①小样本率的χ2公式误差最。。。。。。,最为常用;;;②已往有一种误解,,只有当例数小于30时,,或理论频数小于5时,,χ2原公式盘算值中有误差,,不然不必举行校正。。。。。。实践证实,,只要是判断P=005或P=001的显著磨练,,用校正公式肯定优于基本公式,,纵然例数大于30,,或理论频数大于5,,接纳校正公式也比χ2原盘算要领误差小。。。。。。
2 两组数据中有1或0的小样本资料盘算:前边已叙述了小样本率的χ2盘算公式与要领,,但在现实事情中,,小样本资料经常泛起理论频数小于1的情形,,即T<1。。。。。。这种资料不宜用小样本盘算公式盘算,,更不可用四格表公式盘算,,但宜用四格表确切概率法盘算。。。。。。确切概率法是由RAFisher提出的,,故又称Fisher确切概率磨练。。。。。。此法本不属于χ2磨练领域,,但可作为四格表资料假设磨练的增补。。。。。。先容如下:
确切概率法种种组合概率的盘算公式(3417)为:

式中a、b、c、d的意义同表345,,!为阶乘符号,,N!=1×2×3×4×…×N,,数学上划定!=1。。。。。。一样平常盘算器不可盘算N≥70的阶乘,,这种情形下用对数盘算。。。。。。
四格表中|A-T|值的特点:①各格相等,,如表3414的A-T,,a、d两格均为-14,,b、c两格均为+14,,其绝对值相等。。。。。。因而盘算某一四格表的|A-T|值时,,只需盘算表中任一格的|A-T|值即可;;;②依次增减四格表中任何一格的数据,,可列出周边合计稳固条件下种种组合的四格表,,如示例3413中的五个四格表,,划分盘算其|A-T|值,,列于表下。。。。。。由此可见,,两侧的|A-T|值较大,,而中心的较小。。。。。。
种种组合下累计概率的盘算:①双侧磨练:按公式3417划分盘算两侧所有|A-T|值的各四格表的P值,,然后相加,,即为双侧磨练的P值;;;②单侧磨练:按研究目的,,只盘算一侧的所有|A-T|值即是及大于样本|A-T|值得四格表的P值,,然后相加,,即为单侧磨练的P值。。。。。。
示例3313:某医生用新旧两种要领治疗烧伤后血虚病人共计27例,,效果汇于表3414中,,问新旧药物的疗效有无差别 ??????

【解题办法】
(1)建设磨练假设:H0:新药与旧药治愈率相等,,即π1=π2;;;H1:新药与旧药治愈率不相等,,即π1≠π2。。。。。。
(2)确定显著水准:α=005。。。。。。
(3)盘算概率P:本组N=25<40,,且又T<5,,故宜用确切概率法。。。。。。由表3414可见,,最小周边合计数为4,,故所有可能的组合有5种,,划分为:

(4)确定P值,,做出推断结论:P值应即是所有小于样本点的种种概率之和,,本例切合样本点要求者为(1)、(2)、(5),,因此,,P值的组合为上述三点之和,,即P=00166+01423+01079=02668。。。。。。按α=005水准,,P>005。。。。。。不可以为两种疗法的治愈率有统计学差别。。。。。。
3查四格表显著性磨练用表(C值表)法:此要领轻盈易行,,本文不再叙述,,可参照有关资料盘问。。。。。。

【网站地图】【sitemap】