凯发k8

English 凯发k8集团企业邮箱

第六节 方差不齐时两小样本的均数磨练

作者:徐荣祥 出书社:中国科学手艺出书社 刊行日期:2009年7月

所谓方差不齐,,,是指两组的标准差相差太大,,,若相差凌驾一倍,,,可以肯定为方差不齐,,,较准确的盘算要领是F值盘算法,,,如按本要领盘算,,,应明确被磨练两组样本是否属于方差不齐,,,即首先应举行齐性磨练确定其性子,,,然后举行t磨练。。
一、 两个方差的齐性磨练
前面已经讲过,,,当两个样本均数举行较量时,,,要求响应的两组总体方差相等,,,即方差齐。。可是,,,纵然两组总体方差相等,,,两组样本方差也会由于抽样误差的影响而不相等。。磨练两组样本方差不等是否由于抽样误差所致,,,可用方差齐性磨练,,,也就是磨练σ21与σ22是否相等。。要领用F磨练,,,统计量F值按公式盘算:

式中s21为较大样本的方差,,,s22为较小样的方差,,,响应的自由度划分为n′1和n′2,,,响应的样本含量划分为n1和n2。。由于恒取s21>s22,,,故F值必定大于1,,,求得F值后查F界值表(方差齐性磨练用表,,,表376),,,得P值(F值愈大,,,P值愈小),,,作出结论。。
示例377测得10名康健人和50例烧伤病人早期的RBC均值(1)和标准差(S),,,磨练两组数据方差是否为齐性。。
【解题办法】
1建设磨练假设,,,确定显著水准:①康健人:n=10,,, x1=621×109/L,,,s1=179×109/L;;;;;;②烧伤病人:n=50,,,x1=434×109/L,,,s2=056×109/L。。
H0:两总体方差相等,,,即σ21=σ22;;;;;; H1:两总体方差不等,,,即σ21≠σ22;;;;;;α=005
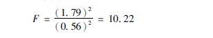
2盘算磨练统计量:按公式3710盘算,,,得:

3确定P值,,,做出推断结论:以n′1=10-1=9,,,n′2=50-1=49,,,查F界值表(表376)。。因1022>233(n′2=60),,,P<005,,,按α=005水准拒绝H0,,,接受H1,,,故可以为两总体方差不齐。。
二、t′磨练
若两个总体的方差不齐时,,,即σ21≠σ22时,,,两小样本均数的较量,,,可选择以下要领:①接纳适当的变量变换,,,使之抵达方差齐的要求;;;;;;②接纳不要求方差齐的要领较量其漫衍,,,如秩和磨练;;;;;;③接纳近似法t′磨练,,,由于t′不平从t漫衍,,,故需要按公式(3710)求界值t(系近似值)。。公式划分为:

当确定磨练水准α后,,,公式3712中的tα·n′1和tαn′2即可按n′1和n′2由表375查得,,,s2x1、s2x2划分为两均数的标准误的平方和。。
仍以示例376为例:由于已知两者方差不齐,,,试较量两者均数有无差别。。
H0:μ1=μ2;;;;;;H1:μ1≠μ2;;;;;;α=005。。

n′1=10-1=9,,,n′2=50-1=49。。查t界值表(表371),,,得t0059=2262,,,t00549=2009。。

今t′>t′005,,,则P<005,,,按α=005水准拒绝H0,,,接受Hl,,,故可以为两组的均数不等,,,烧伤病人RBC的均数大于康健者。。

 

【网站地图】【sitemap】